济南中考一分一段表来了!普通高中志愿填报资格线为375分

济南市教育局 2022-06-29 5.5万

6月29日下午,济南市教育局中招办召开2022年全市高中阶段学校招生工作第一次新闻发布会。

小编梳理一下发布内容,志愿填报资格线、一分一段表、分类招生计划,这些重点你必须get到!

招生计划

01普通高中

普通高中学校招生计划共计42232人。

02职业院校

职业院校招生计划共计35387人,其中:

(1)初中后高等职业教育招生计划共计8580人。包括“3+4”高等职业教育本科计划40人,五年制高等师范教育计划340人,五年制高等职业教育计划2288人,“三二”连读高职计划5912人。

(2)中等职业学校招生计划共计26807人。包含中专招生计划8995人,市属技工院校招生指导计划17812人。

志愿填报资格线

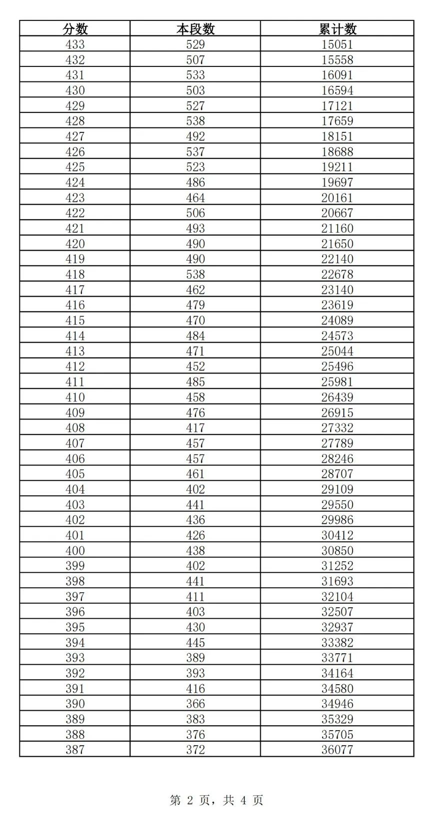
一分一段表

全市一分一段表(不含莱芜区、钢城区)

市内七区一分一段表(历下、市中、槐荫、天桥、历城、高新、南山)

(济南市教育局)

责任编辑:孙远明

AI小壹

我是齐鲁晚报的AI机器人小壹,快来向我报料新闻线索吧~

微信扫码进入小程序 微信扫码
进入小程序
我要报料

热门评论 我要评论 微信扫码
移动端评论

暂无评论

微信扫码
移动端评论